十九世纪的最后一天,欧洲的物理学家齐聚一堂,迎接新世纪的来临。著名的科学家开尔文爵士惊叹于物理学的伟大成就,自豪地宣布物理学的研究已经走到尽头。

开尔文这么说,是因为在那个时代,经典力学通过牛顿、拉格朗日、拉普拉斯等人的贡献已经清楚的解释了物体之间的相互作用和天体运行规律,麦克斯韦电磁方程组将电与磁完美的统一起来,热力学统计物理可以解释分子的运动规律,仿佛物理学已经完全成熟了,没有什么重大的理论问题需要解决。以后的物理学家只需要将物理常数的精度提高几位就可以了。
但是,开尔文同时也说:“在物理学晴朗的天空中,还飘着两朵令人不安的乌云。”他所说的这两朵乌云其一是指黑体辐射问题中实验结果与理论不符合,另一朵是指寻找光的参考系-以太的麦克尔孙莫雷实验的失败。
恰恰是这两朵乌云,发展成为二十世纪物理学最伟大的两个发现:量子力学和相对论的诞生。人类认识到自己探索自然的道路还很漫长。
今天开始我将连载量子力学系列科普内容,今天是第一期《量子力学的开端》,下面是我去年做的一个视频,视频和文字配合效果更好哦!
1
黑体
为了理解量子,我们首先介绍一下黑体。物理研究发现:一切物体都在吸收、反射和辐射电磁波。如果一个物体只吸收和辐射电磁波,不反射电磁波,这个物体就称为黑体。比如太阳就可以看作一个黑体,因为太阳的辐射特别强,辐射的电磁波强度远远大于反射的电磁波。
人们经过研究发现,黑体辐射的情况与物体的温度有关。

图中纵坐标是单位波长单位面积辐射功率,横坐标是波长。我们通过这个图可以发现两个结论:
第一:物体温度越高,辐射强度越大。黑体单位面积辐射能量与温度的四次方成正比,称为斯特番-波尔兹曼定律。人们根据这个规律及算了太阳表面温度大约是6000K。
第二,物体温度越高,辐射强度最大处的波长越短,称为维恩位移定律。比如炽热的铁块会发光,而且温度不同时,颜色也不同。有经验的铁匠可以根据铁块的颜色判断铁块的温度。
2
紫外灾难
但是,这两个定律都是实验规律,如何从理论上解释呢?
卡文迪许实验室主任瑞利从经典电动力学出发,推导出一个黑体辐射公式,即瑞利-金斯公式。

不过,这个公式并不能符合实验结果。只有在波长比较大的时候,公式才与实验结果符合,在波长较小时,公式与实验结果偏差很大。

最可怕的是:当波长趋近于零时,瑞利公式的结果发散,辐射强度无穷大,这显然是很荒谬的。人们无法调和理论和实验结果,并把这个问题称为“紫外灾难”(这是因为紫外是比可见光波长更短的光,表示波长短时实验结果与理论值不符)。
3
普朗克和量子
为了解释这个问题,许多物理学家提出了自己的见解。最成功的是德国科学家普朗克。以下是普朗克学习物理过程中相貌变化图。

普朗克在1900年提出:为了解释黑体辐射现象,必须做出一定的假设,这些假设可能与人们熟悉的物理学规律不同:
振动的带电粒子能量是一份一份的,每一份的能量都与振动频率有关,称为一个能量子,或简称为量子。

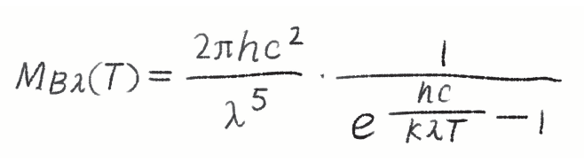
按照这个假设,普朗克推导出了黑体辐射的普朗克公式。

这个公式与实验结果符合的非常好,黑体辐射问题得到完美解决。但是,许多物理学家并不能完全理解量子的概念,这与经典物理学的冲突使得科学界始终不能完全相信普朗克的假设。直到十八年后,普朗克才获得诺贝尔奖。

但是,能量子的概念提出后,许多物理学家借用这个概念得出了丰硕的成果。例如1905年,爱因斯坦借用普朗克的观点解释了光电效应实验,并获得了诺贝尔奖。
现在人们认识到:量子力学是统治微观领域的物理规律,它与宏观世界满足的规律不同。牛顿定律统治着宏观低速世界,量子力学主宰着原子量级的微观世界,而在高速时,我们又需要求助于相对论了。科学越发展,就越会发现更多未知的世界。正如牛顿所说:
“我好像是一个在海边玩耍的孩子,不时为拾到比通常更光滑的石子或更美丽的贝壳而欢欣鼓舞,而展现在我面前的是完全未探明的真理的海洋。”