从小上音乐课,老师就教我们do、re、mi、fa、sol、la、si,大家知道这七个音都是怎么来的吗?这里面其实有很有趣的数学和物理原理,我们一起来了解一下。
1
五度相生法
从2000多年以前,文明诞生之初,音乐就产生了。古希腊时代,有一位著名的音乐家,同时也是数学家和哲学家,他就是毕达哥拉斯。
传说有一次毕达哥拉斯在街上走路,听到有铁匠在打铁,打铁的节奏非常优美。回到家之后,毕达哥拉斯细心的研究铁匠打铁的节奏,发现当打铁的频率是2:1,3:2和4:3的三种比例时,声音配合起来非常好听。于是,毕达哥拉斯决定使用这三种比例创造一种音律系统,这就是五度相生法。
我们知道,声音的音调高低取决于声音的频率,所谓频率就是指每秒钟振动的次数。频率越高,音调就越高,频率越低,音调也越低。人的耳朵能够听到的频率范围是20Hz到20000Hz,称之为可闻波。频率低于20Hz叫做次声波,次声波听不到,但是却会引起人内脏的共振,对人产生伤害,在地震、原子弹爆炸等情况下会产生次声波。频率高于20000Hz称为超声波,超声波可以用来透视人体内部、击碎人体内的结实等,医疗上有很大的用处。有些动物能够听到的频率范围比人大得多。

对于弦乐器,声音的频率取决于弦长、拉力和线密度三个因素。毕达哥拉斯设计了一种类似古琴的乐器。每根弦的粗细不同,再挂上不同的重物改变拉力,就可以获得不同的发声频率。也可以控制重物的重量不变,改变弦长,同样可以改变发声频率。

于是,毕达哥拉斯出于对美的追求,规定了7个音节的频率关系,这就是五度相生法。一个不太严格的步骤是:
如果两个音差8度,则高低音的频率比为2:1;
如果两个音差5度,则高低音的频率比为3:2;
如果两个音差4度,则高低音的频率比为4:3。

我们可以用现代的语言把毕达哥拉斯的方法描述如下:把不同的音调写作C、D、E、F、G、A、B,在C大调中,它们就表示do、re、mi、fa、sol、la、si。下一个C就称为高音do。
1. 两个do之间相差8度,如果第一个do频率是f,则第二个do频率就是2f。
2. do和sol之间相差5度,如果do的频率是f,则sol的频率是3f/2,re和la、mi和si、fa和高音do也是一样。
3. do和fa之间相差4度,如果do的频率是f,fa的频率就是4f/3,re和sol、mi和la之间的关系也是这样。
不过,五度相生法并非完美和谐,例如两个相邻音之间的频率比:re和do之比为9:8,mi和re之比也是9:8,但是f和mi之间的比例是256:243,与之前不同。再比如,fa和si之间也相差4度,但是频率比却不满足4:3 的关系。不过,人们依然承认毕达哥拉斯是第一个提出七个音阶的音乐家,他只用了三个简单的有理数,就定义出了完整的音律系统。
2
三分损益法
比毕达哥拉斯早100多年,中国的管仲也提出了自己的音律系统,称为三分损益法。三分损益法的结果与五度相生法差不多,但是管仲只提出了五个音,分别是:宫、商、角、徵、羽。
我们以笛子为例。在吹笛子时,空气柱振动,产生声音,声音的频率与空气柱的长短有关:空气柱越短,振动频率越高,音调也越高。比如我们在一个瓶子里装不同高度的水,用嘴吹瓶口,就会发现水越多、空气柱越短,频率越高。

如果一根笛子发出的声音频率是f,将笛子的长度平均分为三份,减少其中的一份,这样一来获得一个高音。现在我们知道,这个音的频率是3f/2;如果把笛子的长度增加三分之一,就称为益,就会获得一个低音,频率为3f/4。管仲经过反复的损益,获得了五个音阶。
如果我们将“宫”的频率定为f,那么经过一次“损”,获得频率为3f/2的“徵”;再经过一次“益”,获得频率为3f/2 ×3/4=9f/8的“商”;再经过一次损,得到频率为9f/8 ×3/2=27f/16的“羽”;再经过一次益,得到频率为27f/16 ×3/4=81f/64的“角”,它们与五度相生法得到的音阶对应关系如下:

我们会发现管仲的音律系统少了fa和si两个音阶。
3
十二平均律
无论是毕达哥拉斯还是管仲,它们都采用了2:1,4:3和3:2三个数字来定义音阶,但是这样的方法都面临一个问题:相邻音阶之间的频率比不相同。这样一来,如果需要做音乐上的转调,就很不方便。所谓转调是指将do的位置进行改变,例如C大调是将中音C定为do,而A大调则是将A定为do,两个do的基础频率不同,按照上述方法,后面的re、mi、fa、sol等音,音调的升高比例也不同。
如何解决这个矛盾呢?在现代,最流行的音律系统叫做十二平均律。这种方法虽然繁荣于西方,却是一个中国的皇族最早发明的。这个人叫作朱载堉,朱元璋第九代孙,郑王朱厚烷嫡子。本应继承王位,但是七次拒绝王位,潜心学问,成为我国著名的律学家、音乐家、数学家、物理学家和天文学家。

朱载堉认为:要让音乐和谐动听,必须保证所有相邻的音阶音高相差相同,也就是频率之比相同。一个八度内频率相差两倍,如果将其分成12份,每一份应该相差2的十二次方根。为此,朱载堉利用一个八十一位的超大算盘,计算了这个值,并精确到小数点后第二十五位。

使用这种音律系统,无论如何转调,都可以保证音乐节奏的优美动听。后来这种方法通过意大利传教士传教士传到西方,并经过西方音乐家巴赫等人的努力,最终发扬光大。
现代音乐大部分是基于十二平均律的。例如钢琴有88个按键,每个八度中有12个按键,就分别对应了以上的频率关系。

每一个八度的白键称为主音,在C大调中唱名是do、re、mi、fa、sol、la、si;黑色的按键称为半音,C和D之间的黑键称为升C(C#)或者降D(Db)。每两个相邻的按键之间,频率约为1.059,无论这两个按键是两个白键还是一个白键和一个黑键。相邻的两个八度同名音之间的频率比为2:1。
4
不同频率的物理实现
最后还要介绍一下不同频率的声音是如何从乐器中发出来的。在文章最开头已经提到,对于弦乐器,声音的频率是由于弦振动产生的,而弦的振动频率与弦长、拉力和单位长度的质量(线密度)有关。

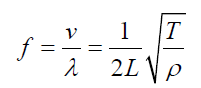
波在传播过程中,每一个质点在平衡位置附近振动,振动的频率就是波的频率f,它表示一秒内质点会振动多少个周期。一个完整波形的长度称为波长λ,表示一个周期内波向前传播的距离。这样,我们就可以计算出波的速度了,只需要用波长除以一个周期的时间即可。最终得到公式:波速等于波长乘以频率

具体来分析:一根长度为L的弦,在振动过程中会形成振动剧烈的部分——波腹,和不振动的部分——波节。一根弦可以形成多种振动形式,实际的振动形式是这些振动的叠加。不过,只有一个波腹的振动是最主要的,多数能量都集中在这个振动形式,我们称之为基频。其他的波能量较弱,称之为泛音。由于泛音比例的不同,乐器的音色就会不同。对于基频波,弦长只有波长的一半,所以波长λ=2L。

而且,根据物理学公式,波在弦中传播速度与拉力T和线密度ρ有关,关系是:

如此,我们代入公式,就可以得到基频的频率

通过这个公式,我们就可以知道三个因素是如何影响频率的了。如果将弦长增大,频率就会降低。弦长变短,频率就会变高。钢琴发音是因为一个小锤敲击钢丝,钢丝的长短不同,发音频率就不同。

对于同一根弦,用手按住不同的位置,也可以改变弦长,于是就可以发出不同的音。小提琴演奏的时候用左手按住弦上不同的位置,就是为了改变弦长。

如果改变拉力,也可以影响发音频率,拉力越大,频率越高。国际标准音将中音A定为440Hz,其他音按照十二平均律依次确定。调音师在调音时,就是改变弦上的张力,使各个弦的发音接近标准。

还有一个影响因素是线密度,比如吉他所有的弦长度都差不多,但是粗细不一样。细的线线密度小,发音频率高;粗的线线密度大,发音频率低。

大家看,音乐中也有许多有趣的数学和物理知识是不是?不仅如此,人的耳朵听到的声音其实是许多频率音的混合,而大脑可以以极高的速度对这些声音做傅里叶变换,从而让我们进行理解。这些知识,我们后面再给大家介绍。
上一篇:不骗你!抖腿真的是个好习惯
下一篇:拼多多正式登顶,意味着什么?